AVE (ang. Average Variance Extracted) to miara stosowana w analizie SEM oraz analitycznej weryfikacji modelu pomiarowego (CFA), która ocenia ilość wariancji wyjaśnianej (logika zbliżona do R-kwadrat) przez zmienną latentną w stosunku do całkowitej wariancji mierzących jej zmiennych jawnych. AVE jest szczególnie ważna dla oceny trafności zbieżnej (convergent validity), czyli stopnia, w jakim wskaźniki są powiązane z mierzoną przez nie zmienną.
AVE jest wskaźnikiem wystandaryzowanym, wahającym się w przedziale od 0 do 1, czyli odpowiadający przedziałowi od 0% do 100% wyjaśnionej wariancji:
AVE można łatwo wyliczyć ręcznie, ponieważ nie wszystkie programy statystyczne oferują możliwość jego obliczenia np. popularny w analizie SEM program AMOS. Aby wyliczyć AVE musimy podzielić przez liczbę naszych wskaźników sumę kwadratów ich ładunków czynnikowych.
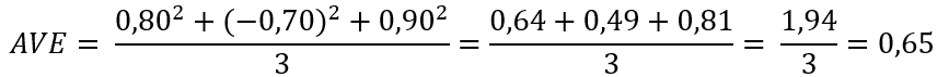
Przykładowo, przyjmijmy że mamy 3 pozycje testowe mierzące Sumienność. Pozycje te wykazują następujące ładunki czynnikowe: 1) 0,80; 2) -0,70; 3) 0,90. Zatem nasza wartość AVE dla Sumienności to:

AVE pozwala lepiej ocenić spójność wewnętrzną zmiennych latentnych, a jej niski poziom może wskazywać na potrzebę rewizji naszego modelu: poprawy pozycji testowych, konieczności usunięcia wskaźników lub nawet całych zmiennych latentnych.
Warto pamiętać, że AVE jest jednym z wielu wskaźników trafności i ocenia on przede wszystkim trafność teoretyczną modelu, czyli czy nasze zmienne są mierzone w sposób adekwatny. Jest on także miarą nieco odrębną od typowych miar dopasowania np. CMIN, RMSEA lub CFI, które oceniają zgodność testowanego modelu z przyjmowanym modelem teoretycznym, podczas gdy celem AVE jest ocena właściwości samego narzędzia pomiarowego.
AVE współwystępuje w literaturze z CR, ponieważ odzwierciedla trafność teoretyczną pomiaru, podczas gdy CR jego rzetelność. Są one względem siebie komplementarne, razem stanowią podstawę do kompleksowej oceny psychometrycznej jakości narzędzia pomiarowego, które musi być zarówno rzetelne jak i trafne.
Osoby zainteresowane bardziej szczegółową analizą AVE mogą znaleźć dodatkowe informacje na stronie internetowej dr Jamesa Gaskina (link tutaj).