Słownik

START | EDUKACJA | SŁOWNIK | Korelacja cząstkowa

Korelacja cząstkowa

Korelacja cząstkowa – znana również jako korelacja częściowa (partial correlation), to miara statystyczna używana do oceny związków między dwiema zmiennymi przy jednoczesnej kontroli wpływu innych zmiennych.

Różnica pomiędzy korelacją cząstkową a “zwykłą” analizą korelacji r Pearsona polega na tym, że korelacja Pearsona dotyczy zawsze tylko jednej pary zmiennych (czyli dwóch zmiennych). W korelacji cząstkowej natomiast, choć również testujemy związek między dwiema zmiennymi, to jednocześnie uwzględniamy w nim wpływ innych zmiennych kontrolnych, poprzez wyizolowanie ich wpływu na relację między zmiennymi głównymi (technicznie odbywa się to zwykle na podstawie wielorakiej regresji liniowej). W rezultacie otrzymujemy miarę korelacji między dwiema zmiennymi, która nie jest zakłócona przez wpływ innych zmiennych.

Przykładowo, wyobraźmy sobie że chcemy zbadać korelację między poziomem stresu a satysfakcją z życia. Jednocześnie wiemy, że satysfakcja z życia jest silnie związana z poziomem zarobków. W takiej sytuacji możemy zastosować korelację cząstkową, w której zbadamy związek między poziomem stresu a satysfakcją z życia, a poziom zarobków będzie kontrolowany jako zmienna kontrolna. W ten sposób będziemy mogli “usunąć” wpływ wieku na relację między zmiennymi głównymi i otrzymamy wynik “czystego” związku między poziomem stresu a satysfakcją z życia.

Idea korelacji cząstkowej, z wykorzystaniem powyższego przykładu oraz w odniesieniu do analizy regresji liniowej, zobrazowana została na rysunku 1.

Rysunek 1
Logika obliczania współczynników korelacji dla regresji wielorakiej (R) oraz korelacji cząstkowej (rc)

Poszczególne litery na rysunku mają następujące wyjaśnienie:

  • a = część satysfakcji z życia, którą wyjaśnia korelacja z poziomem stresu (jest to tzw. korelacja semicząstkowa)
  • b = część satysfakcji z życia, którą wyjaśnia zarówno poziom stresu, jak i wypłata.
  • c = część satysfakcji z życia, którą wyjaśnia korelacja z wypłatą (to również jest korelacja semicząstkowa).
  • d = niewyjaśniona część satysfakcji, która koreluje z innymi, niekontrolowanymi w modelu zmiennymi.

Na czym polega zatem korelacja cząstkowa w tym przykładzie? Obliczając współczynnik R w analizie regresji, uwzględniamy zmienność wszystkich zmiennych niezależnych wprowadzonych do modelu, ponieważ interesuje ich wspólny “wpływ” na satysfakcję z życia. W przypadku korelacji cząstkowej (rc), wyjaśniamy satysfakcję z życia na podstawie poziomu stresu, ale po usunięciu tego co wyjaśnia poziom zarobków.

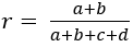
Gdybyśmy liczyli zwykłą korelację Pearsona, wtedy interesowałaby nas korelacja całkowita (total correlation) jednego z predyktorów w modelu regresji wielorakiej, który widzimy na rysunku 1, co wyrażone byłoby wzorem: :

Podsumowując, korelacja cząstkowa pozwala nam na ograniczenie wpływu zmiennych kontrolowanych, które mogą wiązać się jednocześnie ze zmienną zależną i niezależną. Pozwala to usunąć szum informacyjny i potwierdzić, że zmienne będące podstawą naszej pracy badawczej, faktycznie są ze sobą związane bez udziału innych zmiennych. Jeżeli taki związek bezpośredni nie istnieje, wkraczamy najczęściej w obszar efektów mediacji lub moderacji, które pozwalają nam wyjaśnić istnieje związków dwóch zmiennych (np. stres i satysfakcja) dzięki istnieniu trzeciej zmiennej (np. wypłata). Warto jednak zaznaczyć, że wadą tego procesu jest redukcja całkowitej wariancji zmiennej zależnej, ponieważ korelacja cząstkowa „wycina” fragment rzeczywistości z modelu, przez co korelacja ta będzie zawsze silniejsza niż np. korelacja semicząstkowa.

COFNIJ

wróć do spisu wszystkich pojęć

Podziel się wiedzą

z innymi

Opinie Klientów

Co o nas sądzą?

Współpracowaliśmy

między innymi z:

Nasi partnerzy

blogstatystyczny logo Pwn logo Predictive logo Bluemedia logo