Odchylenie standardowe (zwykle określane skrótem SD od angielskiego standard deviation), jest miarą rozproszenia wyników średniej arytmetycznej, ukazującą jak bardzo wartości w zestawie danych różnią się od średniej arytmetycznej tych danych. Odchylenie standardowe, tak samo jak i średnią arytmetyczną, możemy obliczyć tylko dla zmiennej o charakterze ilościowym.
Kolejne kroki obliczenia wartości odchylenia standardowego:
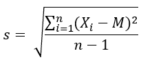
Powyższe działania ujęte są w poniższym wzorze:

gdzie:
n – liczba badanych osób
Xi – to pojedynczy wynik osoby badanej
M – to średnia wyników w grupie
Im większe odchylenie standardowe tym większa jest rozproszenie danych wokół średniej, co oznacza większą zmienność w zbiorze danych. Z kolei mniejsze odchylenie standardowe wskazuje na większe skoncentrowanie wokół średniej, co oznacza mniejszą zmienność.
W zależności od rozproszenia wartości wyników w naszej próbie, odchylenie standardowe może się wahać od 0 do dowolnej liczby dodatniej, a obecność tej informacji pozwala nam określić ile spośród rozstępu naszej zmiennej (np. samoocena od 10 do 40 punktów), udało się nam złapać, co obrazuje rysunek 1.
Rysunek 1
Rozkład wyników zmiennej samoocena z oznaczeniem trzech odchyleń standardowych od średniej (n = 1000)

Jak można łatwo zaobserwować na rysunku 1, średnia wynosi 25 punktów, natomiast jedno odchylenie standardowe wynosi nieco ponad 3 punkty. Oznacza to tyle, że większość naszych osób badanych uzyskiwała wyniki w samoocenie mniej więcej na ± 3 punkty od średniej lub że przeciętne wyniki wahały się w przedziale od 22 do 28 punktów w skali samooceny.
Czytając powyższy opis łatwo zauważyć, że odchylenie standardowe nie może być interpretowane w oderwaniu od wartości średniej. Zastosowania odchylenia standardowego obejmują m.in. analizę danych, prognozowanie, modelowanie statystyczne, gdzie istotne jest zrozumienie stopnia zmienności w danych np. w testach t Studenta lub analizie wariancji. Jednak w praktyce odchylenie standardowe często używane jest razem z innymi statystykami, takimi jak średnia, mediana, kwartyle oraz inne statystyki opisowe aby uzyskać pełniejszy obraz rozkładu danych.
Odchylenie standardowe jako miara tendencji centralnej ma jednak swoje wady:
Podsumowując, odchylenie standardowe jest potężnym narzędziem w analizie danych pozwalające nam na ocenę typowego rozproszenia wyników wokół średniej, ale trzeba zachować ostrożność w jego interpretacji, zwłaszcza w przypadku obserwacji odstających i rozkładów, które nie są normalne.
Więcej informacji na temat odchylenia standardowego znajdziesz w tym artykule na naszym blogu.