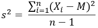
Wariancja – miara rozproszenia danych wokół średniej arytmetycznej. Podobnie jak średnia arytmetyczna wariancja może być obliczana jedynie dla skal ilościowych. Technicznie rzecz biorąc, wariancja jest średnią kwadratów odchyleń każdej wartości od średniej, którą wyrażamy wzorem:

gdzie:
n – liczba badanych osób
Xi – to pojedynczy wynik osoby badanej
M – to średnia wyników w grupie
Choć słowo „wariancja” pojawia się w statystyce bardzo często, rzadko kiedy musi być ona raportowana. Wynika to z faktu, że zamiast wariancji, jako miarę rozproszenia wyników wykorzystuje się częściej odchylenie standardowe (SD), które jest bardziej intuicyjne w interpretacji. Zasadniczo relacja między wariancją a odchyleniem jest podobna jak między kowariancją a korelacją. Mianowicie, odchylenie standardowe to wystandaryzowany współczynnik wariancji, podobnie jak korelacja jest wystandaryzowanym współczynnikiem kowariancji. Technicznie rzecz biorąc, odchylenie jest po prostu pierwiastkiem z wariancji, a wariancja jest odchyleniem standardowym podniesionym do kwadratu.
Wariancja jest kluczowym pojęciem w parametrycznych metodach statystycznych, które wymagają założenia o jednorodności wariancji w porównywanych grupach, np. test t Studenta. W analizie wariancji nabiera dodatkowego znaczenia, gdyż oprócz zmienności międzygrupowej, pozwala kontrolować zmienność wewnątrzgrupową, a w przypadku modelu ANOVA z powtarzanym pomiarem, także zmienność indywidualną.
Wadą wariancji jako miary tendencji centralnej jest jej niewielka odporność na wartości odstające w badanej próbie, z którą lepiej “radzi” sobie odchylenie standardowe, choć jego odporność na występowanie obserwacji odstających rośnie dopiero przy większej liczbie obserwacji.
Podsumowując, wariancja jest użytecznym narzędziem do analizy rozproszenia danych w statystyce. Jednak w praktyce, to odchylenie standardowe jest często preferowane do obrazowania danych ze względu na dodatkową korzyść związana z unifikacją jednostek miary oraz mniejszą wrażliwość na wartości odstające.