Blog

START | BLOG

Modelowanie równań strukturalnych (SEM) – podstawowe informacje

4 lutego 2025 | Autorzy: Andrzej Jankowski i Paweł Krasa
Pobierz PDF

Wprowadzenie

Celem tego tekstu jest wprowadzenie czytelnika w podstawy zagadnienia analizy modelowania równań strukturalnych (SEM) w sposób jak najbardziej jasny i prosty, a zarazem szczegółowy. Dedykujemy go zatem wszystkim chcącym zdobyć podstawowe rozeznanie w tej kwestii, a także tym, którzy chcą uporządkować lub rozwinąć dotychczas posiadaną wiedzę. Szczególnie pozdrawiamy przy tym tych, którzy są zmęczeni czytaniem niejasnych i zawiłych wyjaśnień dotyczących SEM pojawiających się w wielu źródłach.

Artykuł ten rozpoczyna się od omówienia, czym jest analiza SEM, przy jednoczesnym zestawieniu jej z „tradycyjną” analizą regresji liniowej oraz możliwościami makra PROCESS. W tym kontekście wprowadzone zostanie również rozróżnienie na dwa najbardziej popularne podejścia w SEM, czyli CB-SEM (jako bardziej popularne, które zwykle określa się po prostu jako „SEM”) oraz PLS-SEM. Kolejno, przedstawione zostaną zagadnienia: 1) tworzenia wykresów ścieżkowych, ilustrujących relacje między zmiennymi w modelu SEM; 2) kluczowych założeń tej analizy, w tym normalności rozkładu; 3) różnych wskaźników dopasowania modelu. Tekst ten zawiera również praktyczne wskazówki dotyczące raportowania wskaźników dopasowania wraz z tabelą przedstawiającą wartości graniczne dla interpretacji najważniejszych wskaźników. Całość zamyka praktyczny przykład prostej analizy SEM, służący zilustrowaniu sposobu wykonywania tej analizy wraz z przykładowym sposobem raportowania jej wyników w standardzie APA 7.

Czym jest modelowanie strukturalne (SEM)?

Analiza równań strukturalnych (w skrócie SEM z ang. Structural Equation Modeling) to  zaawansowana metoda statystyczna, która pozwala na analizowanie złożonych zależności między zmiennymi . Ogólnie,  bazuje ona na modelu regresji liniowej , jednakże klasyczne modele regresji liniowej skupiają się zwykle na jednej zmiennej zależnej (wyjaśnianej), która może być wyjaśniana przez jedną lub wiele zmiennych niezależnych (predyktorów). Analiza SEM pozwala natomiast na stworzenie bardziej złożonych modeli, np. uwzględniających jednocześnie kilka zmiennych niezależnych, zależnych i mediatorów, a nawet moderatorów.

Ponadto, analiza SEM zawiera w sobie również  możliwości analizy bazującej na analizie czynnikowej oraz wielowymiarowej ANOVA  – i to wszystko w jednym modelu. SEM posiada zatem kilka zalet na tle wielu innych metod statystycznych, ponieważ umożliwia:

  • integrowanie wiedzy pochodzącej z różnych badań w jeden model;
  • badanie relacji między zmiennymi latentnymizmiennymi obserwowalnymi;
  • wyciąganie wstępnych wniosków o przyczynowości relacji między zmiennymi w badaniach korelacyjnych;
  • tworzenie analiz we wszystkich rodzajach badań: zarówno poprzecznych, jak i podłużnych, eksperymentalnych, korelacyjnych.

Analizę SEM można wykonać w różnych pakietach statystycznych. Jednym z popularniejszych jest IBM SPSS AMOS, który jest dodatkiem do programu IBM SPSS dedykowanym do analizy SEM. Oferuje on tworzenie („rysowanie”) modeli w formie graficznej i testowanie ich za pomocą „klikanego” interfejsu. Inne programy do SEM opierają się albo na samym interfejsie, np.: JASP, JAMOVI (brak możliwości rysowania modelu) albo wymagają znajomości podstaw kodowania programistycznego, np. MPlus, środowisko R, Python.

Modelowanie równań strukturalnych (SEM) to zaawansowana metoda statystyczna pozwalająca na analizowanie złożonych zależności między zmiennymi. Bazuje ona na modelu regresji liniowej, ale jednocześnie zawiera w sobie również możliwości bazujące na analizie czynnikowej oraz wielowymiarowej ANOVA.

Analiza SEM a analiza regresji i makro PROCESS

 Jak już wspomnieliśmy, analiza SEM pozwala testować bardziej złożone zależności między zmiennymi niż klasyczna regresja liniowa. Jednocześnie, SEM nie jest tutaj wyjątkiem, ponieważ takie możliwości daje też np. analiza mediacji przeprowadzana w podejściu Barona i Kenny’ego (1986) poprzez szereg analiz regresji liniowej wykonywanych „na piechotę” czy też makro PROCESS (Hayes, 2022), czyli dodatek do SPSS, SAS lub środowiska R, który podobnie jak SEM, umożliwia testowanie złożonych modeli statystycznych.

Szczególnie popularne jest makro PROCESS, które jest obecnie traktowane jako „złoty standard” podczas testowania różnych modeli statystycznych, w tym analiz mediacji i moderacji. Jednocześnie, choć do podstawowych zastosowań PROCESS bywa bardzo użyteczne i często wygodniejsze w obsłudze niż np. AMOS, to ostatecznie analiza SEM jest bardziej elastyczna i daje więcej możliwości.

Poniżej przedstawiamy kilka zasadniczych różnic między makrem PROCESS i analizą SEM, które pokazują potencjalną przewagę SEM:

  • PROCESS opiera się głównie na modelach predefiniowanych, posiadających z góry ustaloną strukturę (trwają jednak prace nad przekroczeniem tych ograniczeń; JASP Team 2024).
  • SEM nie posiada ograniczenia do jednej zmiennej zależnej/wyjaśnianej, jak PROCESS.
  •  SEM uwzględnia istnienie zmiennych latentnych i ich obserwowalnych wskaźników  (zmienne obserwowalne). Pozwala to na testowanie równoległe pozwalające określić, czy wszystkie wskaźniki są odpowiednio silnie związane ze zmienną latentną.
  •  SEM jest analizą elastyczną, pozwalającą na dowolne modyfikacje  (w granicach rozsądku i teorii) w strukturze modelu. Pozwala to łatwo testować różne alternatywy i modyfikacje modelu, co jest szczególnie przydatne, gdy posiadamy wiele równoległych teorii.
  •  SEM posiada dedykowane wskaźniki stanowiące formalne przesłanki dobroci dopasowania modelu , co ułatwia podjęcie decyzji, czy model można przyjąć, czy jednak należy go odrzucić lub zmodyfikować.
  • Modelowanie SEM pozwala oszacować  błędy pomiarowe , czyli siłę wpływu innych czynników niż te uwzględnione w modelu na nasze zmienne.

Wszystko to nie oznacza, że z definicji SEM jest lepsze niż PROCESS. Jest to analiza bardziej złożona i elastyczna, a zatem w niektórych przypadkach bardziej użyteczna. Jednak do analizy prostszych modeli to PROCESS jest powszechnie wybierane.

SEM to tylko jedna z możliwości analizy złożonych zależności między zmiennymi. Inne możliwości to np. analiza mediacji prowadzona w podejściu Barona i Kenny’ego (1986) czy analizy przy użyciu makra PROCESS. Jednakże, analiza SEM jest najbardziej elastyczna i daje więcej możliwości.

Graficzna reprezentacja modelu

 Testowany model teoretyczny możemy zaprezentować w formie grafu , na którym zależności między zmiennymi oznaczamy za pomocą odpowiednio ukierunkowanych strzałek (ścieżek). Nie jest to jednak specyficzna cecha SEM, gdyż taki graf możemy wykonać nawet dla klasycznego modelu regresji, choć będzie on wyglądał nieco inaczej.

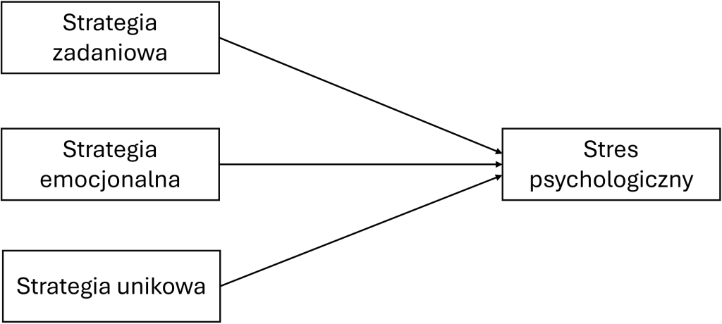
Zajmiemy się teraz kwestią tworzenia grafu w analizie SEM. Przyjmując założenia klasycznego modelu regresji liniowej, model z jedną zmienną zależną i trzema predyktorami wyglądałby w sposób ukazany na poniższym rysunku 1.

Rysunek 1. Przykład modelu graficznego klasycznej regresji liniowej uwzględniającej trzy predyktory (strategie radzenia sobie ze stresem) i jedną zmienną zależną (stres psychologiczny).

Jak widać na rysunku 1, model graficzny klasycznej regresji liniowej jest stosunkowo prosty. Jest to jednak graficzny „model teoretyczny”, będący konceptualizacją testowanych relacji. Inaczej jednak sprawa wygląda od strony samej analizy danych w metodzie SEM. W tym przypadku model jest bardziej skomplikowany, uwzględnia dodatkowe elementy związane ze specyfiką tego podejścia.

Graficzna prezentacja modelu SEM w AMOS dla omawianego przykładu analizy regresji liniowej przedstawiona została na rysunku 2 poniżej.

Rysunek 2. Przykład modelu graficznego SEM w programie AMOS uwzględniającego trzy predyktory i jedną zmienną zależną.

Jak wyraźnie widać, graf na rysunku 2 jest znacznie bardziej rozbudowany niż ten na rysunku 1, mimo że oba modele wyrażają te same zależności. Różnice te wynikają ze specyfiki SEM w zakresie rozdzielania błędu pomiaru, wskaźnika i mierzonego konstruktu, podczas gdy analiza regresji traktuje je jako wspólne składowe tego samego elementu.

Poniżej opisujemy poszczególne składowe grafów w SEM:

  • Elipsy – zmienne latentne (ukryte), reprezentują dany konstrukt teoretyczny, niemierzalny bezpośrednio (w tym przypadku strategie radzenia sobie ze stresem jako predyktory i stres jako zmienna wyjaśniana).
  • Prostokąty – zmienne obserwowalne, stanowią bezpośredni pomiar, na przykład (tak jak w analizowanym przykładzie) pozycje kwestionariusza standaryzowanego.
  • Okręgi (koła) – zmienne resztowe, inaczej błędy pomiaru. Oznaczenie „e” wewnątrz okręgów bierze się od typowego oznaczenia grecką literą ε (epsilon), wykorzystywanej w modelach regresji jako oznaczenie błędu pomiarowego. Jest to specyficzna zmienna ukryta, która jest odzwierciedleniem dodatkowych czynników wpływających na zmienne wyjaśniane oraz mierzone wskaźniki, a które są przez nas niekontrolowane.
  • Strzałka dwukierunkowakowariancja, związek między poszczególnymi zmiennymi (w naszym przykładzie występują one między strategiami radzenia sobie ze stresem jako predyktorami).
  • Strzałka jednokierunkowa – zależność jednokierunkowa, efekt oddziaływania jednej zmiennej na inną, która w analizie wyrażana jest przez współczynnik regresji.

W przypadku programu AMOS, tworzenie grafu ma dwa potencjalne zastosowania. Pierwszym z nich, nadrzędnym, jest samo wykonywanie analizy SEM. Tworzymy zatem graf, a następnie „uruchomiamy” analizę i w ten sposób uzyskujemy wyniki. Z drugiej strony, utworzony graf można ukazać w tekście naukowym. W tym kontekście warto zwrócić uwagę na fakt, że pracując w AMOS ostatecznie uzyskujemy tak naprawdę dwa rodzaje grafów – pierwszy „surowy”, czyli to co tworzymy, jako graficzną reprezentację modelu. Jednocześnie, po uruchomieniu analizy graf ten zostaje zmodyfikowany, tworząc drugi graf, statystyczny – przy poszczególnych strzałkach program nanosi wartości dotyczące poszczególnych efektów, np. współczynniki regresji, wartości kowariancji, ładunki czynnikowe, itd. (przykład takiego grafu przedstawimy w dalszej części tekstu). Oba te grafy można zastosować podczas raportowania wyników, pierwszy jako konceptualizację modelu teoretycznego, a drugi jako sposób na raportowanie np. współczynników regresji lub ładunków czynnikowych.

Wykres ścieżkowy to graf przedstawiający zależności między zmiennymi w modelu statystycznym przy użyciu odpowiednio ukierunkowanych jednolub dwukierunkowych strzałek (ścieżek) oraz innych elementów takich jak prostokąt (zmienna jawna), elipsa (zmienna latentna) czy okręgów (błąd pomiaru).

Rodzaje SEM: CB-SEM oraz PLS-SEM

Powszechnie uważa się, że celem analizy SEM jest testowanie dopasowania modelu teoretycznego do danych empirycznych, tzn. sprawdzenie, czy relacje między zmiennymi określone w modelu (przedstawiane zwykle właśnie w formie wykresu ścieżkowego) znajdują odzwierciedlenie w zebranych danych. Testuje się to obliczając różne wskaźniki dopasowania, takie jak RMSEA, CFI czy SRMR, o których więcej napiszemy w dalszej części tekstu.

Jednak powyższe podejście dotyczy tak naprawdę jednego z typów analizy SEM, czyli CB-SEM (Covariance Based SEM). Jest to najczęściej stosowany rodzaj analizy SEM, który określa się zwykle jako po prostu „SEM” (należy pamiętać, że to uproszczenie). Istnieją jednak inne typy SEM, drugim często wykorzystywanym jest PLS-SEM, czyli Partial Least Squares SEM (inne typy SEM to np. GSCA, Bayesian, Multilevel, Second-Order).

Najważniejsza różnica między CB-SEM a PLS-SEM polega na tym, że  CB-SEM służy do potwierdzania teorii poprzez ocenę ogólnego dopasowania całościowego modelu strukturalnego do danych . Jest to zatem podejście konfirmacyjne („potwierdzające”). Z kolei  PLS-SEM koncentruje się na relacjach między poszczególnymi zmiennymi , a co za tym idzie „punktowe” odstępstwa modelu teoretycznego od danych nie powodują utraty spójności całego modelu. Jest to zatem podejście bardziej eksploracyjne („poszukujące”). Poza tym PLS-SEM nie wymaga spełnienia rygorystycznych założeń statystycznych, takich jak normalność rozkładu.

Dokładniejsze porównanie CB-SEM i PLS-SEM bazujące na publikacji Dasha i Paula (2021) przedstawiono w tabeli 1 poniżej.

Tabela 1
Porównanie metod analizy CB-SEM i PLS-SEM

Typ analizy CB–SEM PLS–SEM
Cel analizy Potwierdzenie całościowego modelu strukturalnego, a zatem potwierdzenie precyzyjnie określonej teorii. Eksploracja danych i predykcja, rozwijanie dopiero kształtującej się teorii.
Metoda oszacowania Najczęściej jest to metoda największej wiarygodności (ML – Maximum Likelihood), która zakłada normalność rozkładu, co z kolei wymaga większej próby. Podobnie jak regresja liniowa korzysta z metody najmniejszych kwadratów (Partial Least Squares) i wykazuje odporność na złamanie założenia o rozkładzie normalnym, dzięki czemu pozwala na wykorzystanie w mniejszych próbach.
Zmienne latentne Sprawdza się lepiej w przypadku modeli opartych na czynnikach ukrytych (factor-based models), gdzie kluczowe są relacje między czynnikami wyjaśnianymi przez obserwowalne zmienne. Sprawdza się lepiej w modelach kompozytowych (composite-based models), w których ważniejsze jest podejście prognostyczne, a zmienne są formowane na podstawie wskaźników.
Dopasowanie modelu Dostarcza szczegółowych wskaźników dopasowania modelu, takich jak χ2, RMSEA, CFI, SRMR, które pomagają ocenić w jakim stopniu model w całości pasuje do danych. Nie posiada jeszcze tak rozbudowanej puli wskaźników dopasowania. Jego jakość ocenia się głównie poprzez współczynniki R2 (wyjaśniona wariancja), AVE, α Cronbacha.
Elastyczność modelu Mniej elastyczny. Wymaga, aby model był dokładnie określony teoretycznie i statystycznie. Jest bardziej restrykcyjny, ponieważ koncentruje się na globalnym dopasowaniu modelu do danych. Bardziej elastyczny. Nie wymaga założeń o rozkładzie normalnym ani dużej liczebności próby. Pozwala modelować skomplikowane relacje, nawet gdy teorie są słabo określone, a dane są nieidealne.
Wykorzystanie w badaniach Wymaga większych prób i normalności danych, co może być wyzwaniem w niektórych badaniach, ale dostarcza dokładniejszych wyników dla dobrze zdefiniowanych modeli teoretycznych. Jest bardziej odpowiednie dla mniejszych prób, nienormalnych danych oraz badań eksploracyjnych, gdzie teoria nie jest jeszcze w pełni rozwinięta.

Warto także dodać, że PLS-SEM jest metodą wciąż rozwijaną i korygowaną. W związku z tym jej wyniki mogą być obciążone (czyli nie w pełni dokładne). Na ten moment prace te doprowadziły również do powstania „kuzyna” PLS-SEM w postaci PLSc-SEM (Consistent Partial Least Squares), czyli metody która stara się połączyć zalety PLS-SEM, jak i CB-SEM.

 W dalszej części tego artykułu skupimy się na „klasycznej” analizie CB-SEM , jako najpopularniejszej i dobrze ugruntowanej. Warto jednak mieć świadomość istnienia innych typów SEM oraz podstawowych różnic między CB-SEM i PLS-SEM.

Dwa główne rodzaje analizy SEM to CB-SEM, które służy do potwierdzania teorii poprzez ocenę ogólnego dopasowania całościowego modelu (podejście konfirmacyjne) oraz PLS-SEM, które w większym stopniu koncentruje się na relacjach między poszczególnymi zmiennymi (podejście eksploracyjne).

Założenia dotyczące analizy CB-SEM

Jak już wiemy, celem analizy CB-SEM jest przetestowanie modelu, to znaczy  sprawdzenie, w jaki stopniu model teoretyczny znajduje odzwierciedlenie w zebranych danych .

Zanim jednak przejdziemy do zagadnienia testowania modelu CB-SEM, zacznijmy od kwestii założeń, które w tej analizie powinny zostać spełnione, aby uzyskane wyniki były wiarygodne. Warto dodać również, że ich  brak spełnienia, podobnie jak w przypadku wielu innych metod statystycznych, nie zawsze w realny sposób negatywnie wpływa na wyniki .

 Większość założeń analizy CB-SEM jest taka sama jak w przypadku klasycznej regresji liniowej . Wymieńmy je w punktach:

  • Posiadanie modelu teoretycznego – analiza CB-SEM z definicji służy potwierdzaniu modelu teoretycznego. Zatem musi być on oparty na określonej teorii i ugruntowany w innych badaniach.
  • Wielkość próby – zwykle wymaga się, aby w analizie CB-SEM uwzględniono  próbę minimum 200 osób . Jest to jednak bardzo ogólna zasada, jej ostateczna liczba jest wypadkową trzech czynników: a) przewidywanego rozkładu zmiennych; b) złożoności modelu; c) metody estymacji modelu. Zaawansowany kalkulator liczebności próby do analizy CB-SEM stworzony przez Daniela Sopera można znaleźć pod adresem  tutaj (dostęp 13.04.2026r.).
  • Normalność rozkładu – CB-SEM jako metoda oparta na macierzy kowariancji wymaga zazwyczaj wielowymiarowego rozkładu normalnego dla zmiennych testowanych. Jednocześnie, zmiana domyślnej metody estymacji z metody największej wiarygodności (ML) na inną pozwala ograniczyć stopień wpływu tego założenia na wyniki.
  • Liniowość związku – podobnie jak w regresji liniowej, zakłada się liniowość relacji między zmiennymi wyjaśniającymi a wyjaśnianymi.
  • Niska współliniowość – zakłada się, że skorelowanie zmiennych niezależnych powinno być jak najmniejsze, choć wpływ tego założenia maleje wraz ze wzrostem liczebności próby.
  • Pełne dane – zazwyczaj modelowanie CB-SEM wymaga usunięcia z bazy braków danych. Ograniczenie to można przekroczyć na dwa sposoby: a) dokonując imputacji danych (uzupełnienie braków danych np. przez ładunki regresyjne lub średnie); b) wykorzystując metodę pełnej dostępnej informacji np. FIML (Full Information Maximum Likelihood Method), która testuje model mimo występowania braków danych.
  • Niezależność błędów pomiarowych – podobnie jak w regresji liniowej zakłada się brak skorelowania błędów pomiarowych. Jest to jednak podejście idealistyczne, w praktyce dopuszcza się skorelowanie błędów, a niekiedy uwzględnia je wprost w modelu bazując na tzw. indeksach modyfikacyjnych.

Powyższe  założenia nie muszą być jednak zawsze bezwzględnie spełnione. Ogólna zasada jest taka, że im większa próba, tym większa odporność modelu na ich niespełnienie . Rozbijając sprawę na części pierwsze, najważniejszymi i bezwzględnymi założeniami są:  a) oparcie testowanego modelu na określonej teorii; b) liniowość związku między zmiennymi w modelu; c) odpowiednio duża próba, będąca reprezentatywną próbką populacji . Jeżeli je spełnimy, odchylenia od rozkładu normalnego (o ile nie będą skrajnie wysokie) i współliniowość predyktorów (o ile nie będzie skrajnie silna), nie powinny wpłynąć znacząco na jakość uzyskanych wyników. Z kolei pozostałe założenia są ogólnie mniej znaczące.

Najważniejszymi założeniami CB-SEM jest oparcie testowanego modelu na określonej teorii, liniowość związku między zmiennymi w modelu oraz odpowiednio duża próba. Jeśli te założenia zostaną spełnione, odchylenia od pozostałych założeń nie powinny znacząco wpłynąć na jakość uzyskanych wyników.

Testowanie dopasowania modelu w analizie SEM

Teraz przechodzimy do centralnego zagadnienia związanego z analizą CB-SEM jakim jest testowanie dopasowania modelu. Jak wspomniano wcześniej, jest to główny cel tej analizy.

Z jednej strony testowanie dopasowania modelu CB-SEM przypomina wykonywanie klasycznych testów statystycznych, w tym sensie, że w procesie tym dążymy do podjęcia konkretnej decyzji: model jest dobrze dopasowany lub nie jest. Z drugiej strony ocena dopasowania modelu w CB-SEM nie jest taka zerojedynkowa, jak w przypadku oceny wartości p podczas wykonywania testów statystycznych.

Różnica ta wynika z dwóch kwestii. Po pierwsze,  dopasowanie modelu ocenia się poprzez równoległą analizę kilku różnych wskaźników , a to może prowadzić do niespójnych wniosków, gdzie niektóre wartości wskazują na akceptowalne dopasowanie, a inne nie. Po drugie, niektóre z tych wskaźników (chodzi konkretnie o CMIN, czyli wynik testu dopasowania chi-kwadrat) są klasycznymi testami statystycznymi, w których oceniamy wartość p, podczas gdy inne są wartościami liczbowymi, dla których istnieją niekiedy różne wartości progowe, na podstawie których ocenia się dopasowanie. Ocena ta jest więc bardziej płynna.

Poniżej w tabeli 2 przedstawiamy najczęściej wskazywane w literaturze progi dla interpretacji poszczególnych wskaźników dopasowania. Tabela ta bazuje na przeglądzie literatury dokonanym przez Dasha i Paula (2021). Bardziej szczegółowe informacje dotyczące poszczególnych wskaźników można znaleźć w naszym słowniku statystycznym.

Tabela 2
Wartości progowe dla interpretacji poszczególnych wskaźników dopasowania w analizie CB-SEM

Wskaźnik Wartość idealna Wartość akceptowalna
Chi-kwadrat (CMIN) * p > 0,05 (przy założeniu α = 0,05) p < 0,05 (przy założeniu α = 0,05)
Standaryzowany chi-kwadrat (CMIN/df) * < 3 < 5
GFI > 0,95 > 0,90
AGFI > 0,90 > 0,85
CFI * > 0,95 > 0,90
TLI > 0,90
NFI > 0,90
PGFI > 0,50
PNFI > 0,50
PCFI > 0,50
SRMR * < 0,05 < 0,08
RMSEA * < 0,05 [90% CI] < 0,10 [90% CI]

Adnotacja. Gwiazdką oznaczono najczęściej raportowane wskaźniki. Tabela przygotowana na podstawie Dash i Paul (2021).

Analiza CB-SEM posiada wiele wskaźników dopasowania modelu. W praktyce  zwykle podaje się równolegle kilka wartości, co pozwala zrekompensować ich ograniczenia . W ten sposób oceniamy dopasowanie z kilku perspektyw i na tej podstawie podejmujemy ostateczną decyzję. Przykładowo, wartość RMSEA może być zaniżona (co sugeruje dobre dopasowanie) w przypadku złożonych modeli, dlatego w takiej sytuacji warto również ocenić np. CFI oraz SRMR, które w tej kwestii są bardziej stabilne.

Istnieją różne wytyczne dotyczące tego, które wskaźniki dopasowania raportować równolegle. Niektóre ze wskaźników dopasowania oceniają je pod podobnym kątem lub są wręcz wariacjami tej samej oceny np. CFI i TLI są rozwinięciem NFI. Dlatego też warto wybierać miary uzupełniające się.

Jedną z konkretnych rekomendacji w omawianej kwestii zaproponował Kyriazos (2018), który w swoim poradniku dotyczącym raportowania wyników analizy CB-SEM  wymienia jako wskaźniki uzupełniające się: chi-kwadrat (CMIN), CFI, RMSEA i SRMR . Jest to przykład stosowania zestawu wskaźników umożliwiających kompleksową ocenę dopasowania, bo każdy z nich umożliwia ocenę innego aspektu dopasowania modelu.

Poza wskaźnikami dopasowania jako takiego, w analizie CB-SEM często podaje się jeszcze dwie dodatkowe wartości:  AVE (ang. average variance extracted) i CR (ang. composite reliability), które określają trafność zbieżną i rozbieżną konstruktów (AVE) oraz rzetelność ich pomiaru (CR) mierzonych konstruktów . Dzięki nim możliwa jest ocena czy uwzględnione w modelu zmienne latentne są w odpowiedni sposób mierzone przez zmienne obserwowalne oraz czy nie pokrywają się znaczeniowo (poprzez stopień skorelowania) z innymi zmiennymi latentnymi.

Za propozycją Kyriazosa (2018) rekomendujemy raportowanie w CB-SEM następujących wskaźników: chi-kwadrat (CMIN), CFI, RMSEA i SRMR, jako uzupełniających się. Po za nimi często podaje się jeszcze dwie dodatkowe wartości: AVE i CR, które określają trafność zbieżną i rozbieżną konstruktów (AVE) oraz rzetelność ich pomiaru (CR).

Przykład zastosowania analizy CB-SEM – case study

Zaprezentujemy teraz przykład, w którym wykonamy analizę CB-SEM w programie AMOS oraz zaraportujemy jej wyniki w standardzie APA 7.

Zanim przejdziemy dalej, warto podkreślić, że w praktyce  analizę modelowania strukturalnego dzielimy na dwa etapy . Pierwszym z nich jest  konfirmacyjna analiza czynnikowa (CFA) , której celem jest potwierdzenie, że nasze zmienne zostały zmierzone w optymalny sposób tj. trafnie oraz rzetelnie, a także wykluczenie ewentualnych pomiarów mogących zniekształcić wyniki właściwej analizy SEM.  Po potwierdzeniu struktury za pomocą CFA, możemy przejść do analizy właściwej CB-SEM . Mimo iż CFA nie jest formalnym wymogiem przeprowadzenia analizy SEM, w praktyce stanowi on niemal zawsze pierwszy etap tej analizy, który potwierdza jakość zebranych danych.

W tym tekście skupimy się na drugim etapie, czyli testowaniu dopasowania modelu za pomocą CB-SEM. Analizie CFA poświęcimy w przyszłości osobny artykuł.

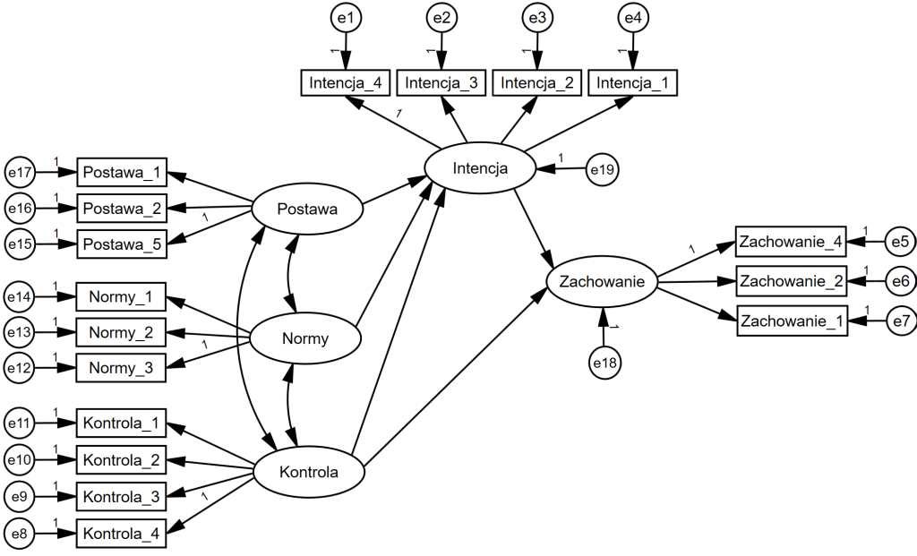
W naszym case study przyjmijmy, że celem badania jest przetestowanie modelu proponowanego przez teorię planowanego działania Ajzena (1991). Zakłada on, że zachowanie jest wyjaśniane przez pośredniczący efekt intencji (mediator), na który oddziałują: 1) postawy; 2) subiektywne normy; 3) kontrola zachowania, przy czym jednocześnie kontrola zachowania ma także bezpośredni wpływ na zachowanie. Model konceptualny, który chcemy przetestować przedstawiony został na poniższym rysunku.

Rysunek 3. Model konceptualny teorii planowanego działania Ajzena.

Jak widać na rysunku 3, poza ogólną oceną dopasowania modelu, naszym celem jest przetestowanie pięciu hipotez, które dotyczą zależności pomiędzy zmiennymi zawartymi w modelu:

H1. Pozytywna postawa wiąże się z silniejszą intencją zachowania.

H2. Wyższe spostrzeganie zachowania jako norma wiąże się z silniejszą intencją zachowania.

H3. Postrzeganie zachowania jako kontrolowanego koreluje z silniejszą intencją.

H4. Wyższa kontrola zachowania współwystępuje z wyższą częstotliwością zachowania.

H5. Wyższe nasilenie intencji zachowania będzie korelowało z częstszym wystąpieniem zachowania.

Zakładamy, że wykonaliśmy wstępny model pomiarowy (krok 1 – analiza CFA) i udowodniliśmy, że wszystkie wskaźniki dopasowania modelu, a także trafności i rzetelności (wskaźniki AVE i CR) spełniają minimalne wymogi. Możemy przejść do analizy właściwej, jaką jest wykonanie analizy CB-SEM.

Pracując w programie AMOS możemy nasz model konceptualny (zob. rysunek 3) przekształcić w model strukturalny charakterystyczny dla SEM, w którym uwzględnione zostaną też zmienne jawne (pozycje testowe kwestionariusza), błędy pomiarowe oraz korelacje (kowariancje) między zmiennymi wyjaśniającymi. Ostatecznie, utworzony graf może wyglądać w sposób przedstawiony poniżej:

Rysunek 4. Model równań strukturalnych dla teorii planowanego działania.

Analizując model strukturalny CB-SEM przedstawiony na rysunku 4 warto zwrócić uwagę na kilka jego elementów:

  • Zmienne „Postawa”, „Normy” i „Kontrola” stanowią główne predyktory (zmienne egzogeniczne/niezależne/objaśniające) a więc dotyczy ich założenie o braku współliniowości. Wiemy jednak, że to założenie nie jest realistyczne, dlatego też uwzględniamy współliniowość w modelu (a tym samym ją kontrolujemy) poprzez ujęcie kowariancji między tymi zmiennymi. Dlatego też na grafie zmienne te łączą strzałki dwukierunkowe (←→).
  • Zmienne „Intencja” i „Zachowanie” stanowią zmienne wyjaśniane (endogeniczne/zależne), dlatego też dla nich również musimy uwzględnić błędy pomiarowe (e18 i e19). W ten sposób uwzględniamy fakt, że poza predyktorami ich wartość zależy też od czynników nieuwzględnionych w modelu.
  • Między zmiennymi niezależnymi a zależnymi postuluje się relację przyczynowości, dlatego łączą je strzałki jednokierunkowe (→). Warto wspomnieć, że założenie to w przypadku badań korelacyjnych ma charakter teoretyczny. Prawdziwą przyczynowość może udowodnić tylko odpowiednia manipulacja eksperymentalna.
  •  Każda ze zmiennych ukrytych/latentnych w modelu połączona jest jednokierunkowymi strzałkami ze zmiennymi jawnymi , którymi w tym przypadku są pozycje testowe kwestionariuszy standaryzowanych. Te z kolei również są połączone z błędami (e1 – e17). Warto zwrócić uwagę na fakt, że strzałki te są poprowadzone od zmiennych latentnych do jawnych. Jest to w pewnym sensie nieintuicyjne, a wynika z tzw. refleksyjnego (w przeciwieństwie do formatywnego) podejścia do tworzenia modeli psychologicznych, w którym zakładamy, że to zmienna latentna nasyca określone zachowania.
  • Przy niektórych strzałkach jednokierunkowych naniesione są wartości „1”. To  wartość referencyjna , która pomaga „ustawić” skale wartości zmiennych tworząc dla nich określony punkt odniesienia. Każda zmienna latentna wymaga tego rodzaju „zakotwiczenia” w jednej zmiennej obserwowalnej.

Po stworzeniu grafu odzwierciedlającego postulowany model teoretyczny, wykonujemy analizy w programie AMOS. Jej wyniki są ukazywane na kilka sposobów. Jednym z nich jest wcześniej wspomniany graf z naniesionymi wartościami współczynników regresji (standaryzowanych lub nie), które pojawiają się na grafie przy każdej z testowanych ścieżek. Ukazano go na poniższym rysunku.

Rysunek 5. Model równań strukturalnych dla teorii planowanego działania z naniesionymi standaryzowanymi współczynnikami regresji.

Na rysunku 5 przedstawiono graf z naniesionymi standaryzowanymi współczynnikami regresji (Beta) dla poszczególnych ścieżek. Graf taki można analizować bezpośrednio, jednak na potrzeby weryfikacji hipotez można go również uprościć, poprzez naniesienie uzyskanych wyników na stworzony wcześniej model konceptualny (zob. rysunek 3). Taki uproszczony graf przedstawiono na rysunku 6 poniżej.

Uwaga! Adnotacja prawdopodobieństwa na tym grafie została dopisana osobno, na podstawie interpretacji wartości p, które można odczytać w AMOS w menu Estimates programu, w tabeli pierwszej Regression Weights. Ponadto, we wspomnianym menu Estimates znajdują się też wszystkie ładunki regresji. Można je więc interpretować też bez pomocy grafu.

Rysunek 6. Model konceptualny dla teorii planowanego działania z naniesionymi standaryzowanymi współczynnikami regresji.

Przedstawienie wyników w formie uproszczonego grafu pokazanego na rysunku 6 jest bardziej przejrzyste niż przy użyciu pełnego grafu (rysunek 5). Jednocześnie zawiera ono wszystkie istotne informacje pozwalające na przetestowanie pięciu postawionych hipotez, czyli współczynniki regresji Beta wraz z adnotacją prawdopodobieństwa (gwiazdki). Warto więc taki uproszczony graf wykorzystywać, tym bardziej, że informacje które zostają z niego usunięte (czyli ładunki czynnikowe) i tak zwykle ukazane zostają w tabeli z wynikami uprzednio wykonanej analizy CFA (ładunki czynnikowe w CFA i SEM są takie same).

Analiza grafu przedstawionego na rysunku 6 prowadzi do następujących wniosków:

  • Hipoteza H1 nie została potwierdzona, ponieważ choć testowany związek był istotny statystycznie (β = -0,39***), to jego kierunek był odwrotny niż zakładano – bardziej pozytywna postawa wiązała się z niższą intencją zachowania.
  • Hipoteza H2 nie została potwierdzona, testowana korelacja między normami a intencją okazała się nieistotna statystycznie (β = -0,03).
  • Potwierdzono hipotezy H3, H4 i H5. Wyższe nasilenie kontroli wiązało się z wyższą intencją zachowania (β = 0,18**), a także częstszym inicjowaniem zachowania (β = 0,36**). Wyższe nasilenie intencji wiązało się z wyższą częstotliwością zachowania (β = 0,52***).

Poza samą weryfikacją hipotez dotyczących relacji między zmiennymi uwzględnionymi w modelu, interesuje nas również jego ogólne dopasowanie. W tym celu dokonamy analizy kilku miar dopasowania. Zgodnie  z wytycznymi opisanymi w poprzedniej części tego artykuły wybieramy: chi-kwadrat (CMIN), CFI, SRMR, RMSEA . Pomijamy AVE i CR, zakładając, że jest to częścią wykonanej uprzednio analizy CFA.

Interesujące nas wskaźniki dopasowania znajdziemy w dwóch oknach programu AMOS:

  • W menu View TextModel Fit znajdziemy wartości: Chi-kwadrat (pierwsza tabela zatytułowana „CMIN”), CFI (trzecia tabela zatytułowana Baseline Comparisions), RMSEA (siódma tabela zatytułowana „RMSEA”).
  • Wartość SRMR odczytamy w zakładce Plugins pod opcją Standarized RMR (Ważne: należy uruchomić to okienko przed wykonaniem analizy).

Ważne: Wyniki dla każdego z omawianych wskaźników odczytujemy z pierwszego wiersza pt. Default model.

Uzyskane wyniki wraz z interpretacją przedstawiono w tabeli poniżej.

Tabela 3
Wartości uzyskanych miar dopasowania wraz z interpretacją dla testowanego modelu teorii planowanego działania

Wskaźnik Wynik Wymóg Ocena dopasowania
χ2 (CMIN) χ2 = 153,726; df = 111; p = 0,005 p > 0,05 Słabe
Standaryzowany χ2 χ2/df = 1,39 χ2/df < 3 Dobre
CFI CFI = 0,988 CFI > 0,90 Dobre
RMSEA RMSEA = 0,028 90%CI [0,016; 0,038] RMSEA < 0,05 Dobre
SRMR SRMR = 0,040 SRMR < 0,05 Dobre

Analizując uzyskane miary dopasowania w odniesieniu do przyjętych progów, można stwierdzić iż model strukturalny ogólnie charakteryzuje się dobrym dopasowaniem do danych – cztery z pięciu miar wskazują na dobre dopasowanie.  Istotny statystycznie wynik testu chi-kwadrat nie powinien być powodem do niepokoju – to sytuacja częsta . Więcej o rzeczywistym dopasowaniu można wywnioskować z wystandaryzowanego chi-kwadrat, które w tym przypadku wskazuje na dobre dopasowanie.

W raporcie z wynikami analizy SEM warto umieścić graf zawierający standaryzowane współczynniki regresji. Jeśli raportujemy samo SEM może to być pełen model strukturalny (np. wydruk z AMOS). Jeśli natomiast SEM poprzedzona jest analizą czynnikową CFA, wystarczy uproszczony model konceptualny, ponieważ pozostałe istotne informacje zawarte będą w tabeli dla CFA.

Przykład raportowania wyników analizy SEM w standardzie APA 7

Poniżej przedstawiamy przykładowy sposób raportowania wyników analizy CB-SEM w standardzie APA 7 w formie tekstowej, na bazie analizy omawianej w naszym case study. Do takiego opisu warto dołączyć również graf, np. taki jak ten na rysunku 6.

Samo raportowanie wyników analizy SEM powinno być zwięzłe i konkretne. Więcej szczegółów podaje się podczas raportowania wyników analizy CFA, gdzie staramy się podawać wszystkie ładunki czynnikowe oraz wskaźniki dopasowania i trafności.

PRZYKŁAD RAPORTOWANIA WYNIKÓW ANALIZY SEM W STYLU APA 7

Wykonano analizę równań strukturalnych CB-SEM w celu potwierdzenia teorii planowanego działania oraz przetestowania hipotez dotyczących zależności między zmiennymi ujętymi w modelu.

Przeprowadzona analiza ścieżek, wykazała występowanie istotnej statystycznie i ujemnej korelacji pomiędzy postawą a intencją zachowania. Oznacza to, że wyższe nasilenie pozytywnej postawy względem zachowania wiązało się z niższym nasileniem intencji wobec zachowania. Tym samym nie potwierdzono hipotezy H1, zgodnie z którą zależność ta powinna być pozytywna. Nie potwierdzono również hipotezy H2, gdyż nie zaobserwowano istotnego związku między normami a intencją. Potwierdzono z kolei hipotezy H3, H4 i H5, uzyskując wyniki korelacji zgodne z przewidywaniami – wyższe nasilenie kontroli wiązało się z wyższym nasileniem intencji wobec zachowania oraz wyższą częstotliwością samego zachowania, z kolei wyższa intencja wiązała się z częstszym zachowaniem.

Wartości większości miar dopasowania modelu wskazują na dobre jego dopasowanie: CFI = 0,988; RMSEA = 0,028 90%CI [0,016; 0,038]; SRMR = 0,040. Wynik testu chi-kwadrat był istotny statystycznie, χ2(111) = 153,73; p = 0,005, co wskazuje na słabe dopasowanie do danych, jednak standaryzowana wartość chi-kwadrat była niższa od przyjętego progu 3, χ2/df = 1,39.

Podsumowując, testowany model strukturalny uzyskał częściowe potwierdzenie, ponieważ charakteryzował się dobrym dopasowaniem do danych oraz potwierdził większość zakładanych efektów.

Pod tym linkiem znajdziesz nasze autorskie opracowanie standardu APA 7 w kontekście raportowania wyników analizy statystycznej. Znajdziesz w nim ogólne wytyczne dotyczące raportowania wyników, w tym samego zakresu raportowania, zapisu matematycznego wyników testów statystycznych czy formatowania tabel i wykresów.

Podsumowanie

Analiza równań strukturalnych (SEM) jest rozbudowanym rodzajem modelowania statystycznego umożliwiająca testowanie złożonych zależności między zmiennymi, wykraczające poza możliwości prostej regresji liniowej czy też makra PROCESS.

Warto pamiętać, że istnieje wiele rodzajów analizy SEM, z czego dwie najbardziej popularne to CB-SEM, której celem jest potwierdzenie całościowego modelu teoretycznego oraz PLS-SEM, która jest analizą bardziej eksploracyjną, elastyczną i nakierowaną na analizę szczegółowych zależności między poszczególnymi zmiennymi. W tym artykule skupiliśmy się na CB-SEM, jako analizie bardziej popularnej, a zarazem lepiej ugruntowanej.

Model ścieżkowy SEM można przedstawić w formie grafu, który uwzględnia zależności między zmiennymi oraz błędy pomiarowe odzwierciedlające wpływ czynników niekontrolowanych w modelu, a także ewentualne związki (kowariancje) między zmiennymi wyjaśniającymi. W artykule przedstawiliśmy sposób budowania tych grafów oraz wyjaśnienie jego poszczególnych elementów.

Celem analizy CB-SEM jest testowanie dopasowania modelu do danych, które ocenia się analizując szereg wskaźników dopasowania. W tekście przedstawiliśmy najczęściej przyjmowane progi dla ich interpretacji oraz zaproponowaliśmy raportowanie następującego zestawu: chi-kwadrat, RMSEA, CFI i SRMR, jako uwzględniających różne aspekty dopasowania. Poza nimi warto raportować również wskaźniki AVE i CR, jako miary trafności i rzetelności teoretycznej modelu. Ponadto, w analizie CB-SEM, poza ogólną oceną dopasowania można również weryfikować hipotezy dotyczące różnych związków między zmiennymi uwzględnionymi w modelu.

W artykule tym przedstawiliśmy również case study dotyczące analizy modelu teorii planowanego działania Ajzena (1991), testując jego dopasowanie oraz weryfikując pięć postawionych hipotez. Poza samym studium przypadku przedstawiliśmy również przykładowe raportowanie wyników tej analizy w standardzie APA 7, które może służyć jako bardziej ogólny wzór do raportowania analizy SEM.

Warto pamiętać, że sama analiza dopasowania modelu jest tylko jednym z dwóch elementów analizy. Poza nim, w pierwszym kroku, wykonuje się konfirmacyjną analizę czynnikową (CFA), której celem jest ocena samego modelu pomiarowego, czyli trafności i rzetelności samej metody pomiaru. Analizie CFA poświęcimy w przyszłości osobny artykuł.

 

Literatura

Ajzen, I. (1991). The Theory of planned behavior. Organizational Behavior and Human Decision Processes.

Dash, G., Paul, J. (2021). CB-SEM vs PLS-SEM methods for research in social sciences and technology forecasting. Technological Forecasting and Social Change, 173, 121092.

Hayes, A. F. (2022). Introduction to mediation, moderation, and conditional process analysis: A regression-based approach. Guilford publications.

JASP Team (2024). Causal Inference in JASP: The Process Module; https://jasp-stats.org/2024/01/29/causal-inference-in-jasp-the-process-module/ (dostęp: 13.04.2026)

Kyriazos, T. A. (2018). Applied psychometrics: sample size and sample power considerations in factor analysis (EFA, CFA) and SEM in general. Psychology, 9(08), 2207.

Podziel się wiedzą

z innymi

Opinie Klientów

Co o nas sądzą?

Współpracowaliśmy

między innymi z:

Nasi partnerzy

blogstatystyczny logo Pwn logo Predictive logo Bluemedia logo